• Предмет: Алгебра
  • Автор: pyatovskaymasha279
  • Вопрос задан 8 лет назад

представьте в виде дроби выражение пж​

Приложения:

Ответы

Ответ дал: alinapetruha20
0

Ответ:

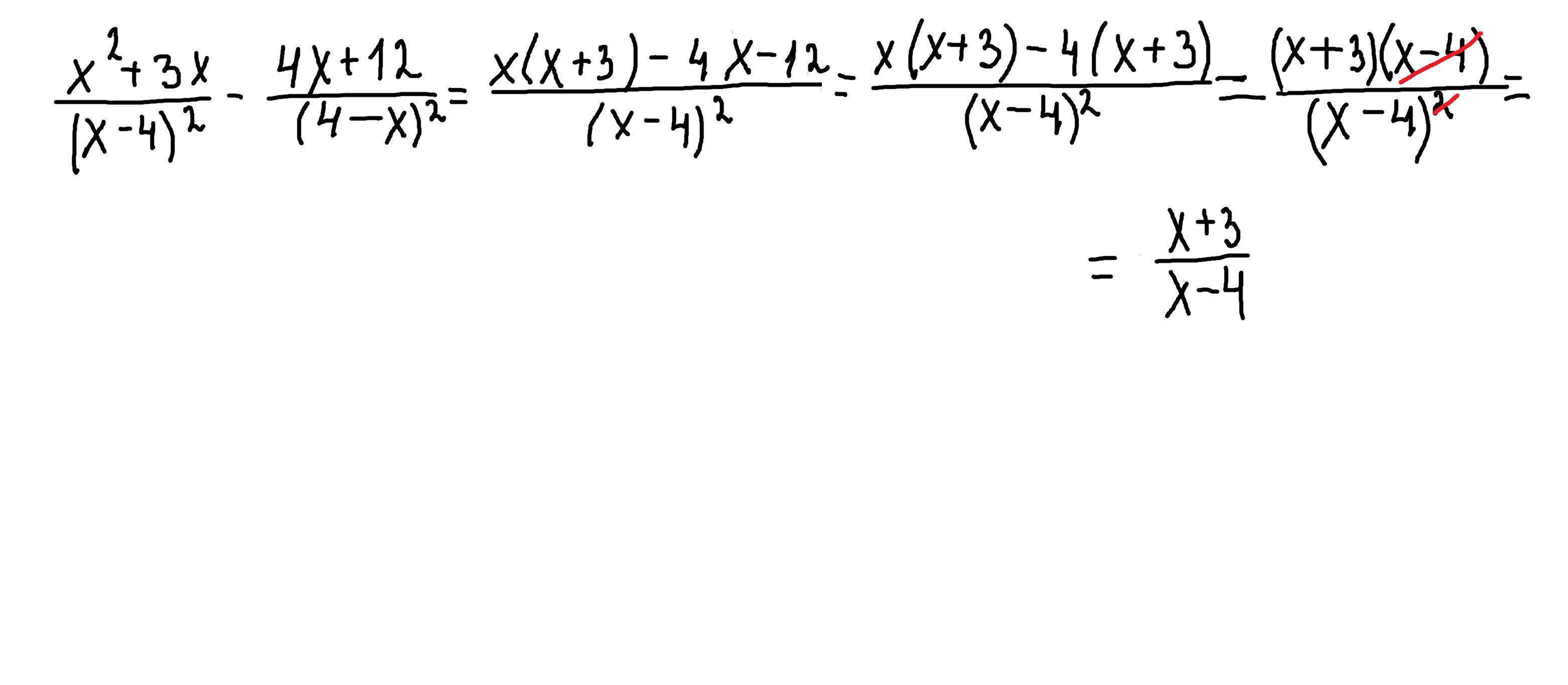
x²+3x/(x-4)² - 4x+12/(4-x)²=x+3/x-4

Ответ дал: parus77
1

Ответ:

(х+3)\(х-4)

Объяснение:

т.к (х-4)²=(4-х)²  значит это одинаковые знаменатели

Приложения:
Вас заинтересует