• Предмет: Математика
  • Автор: danazvadargi713
  • Вопрос задан 8 лет назад

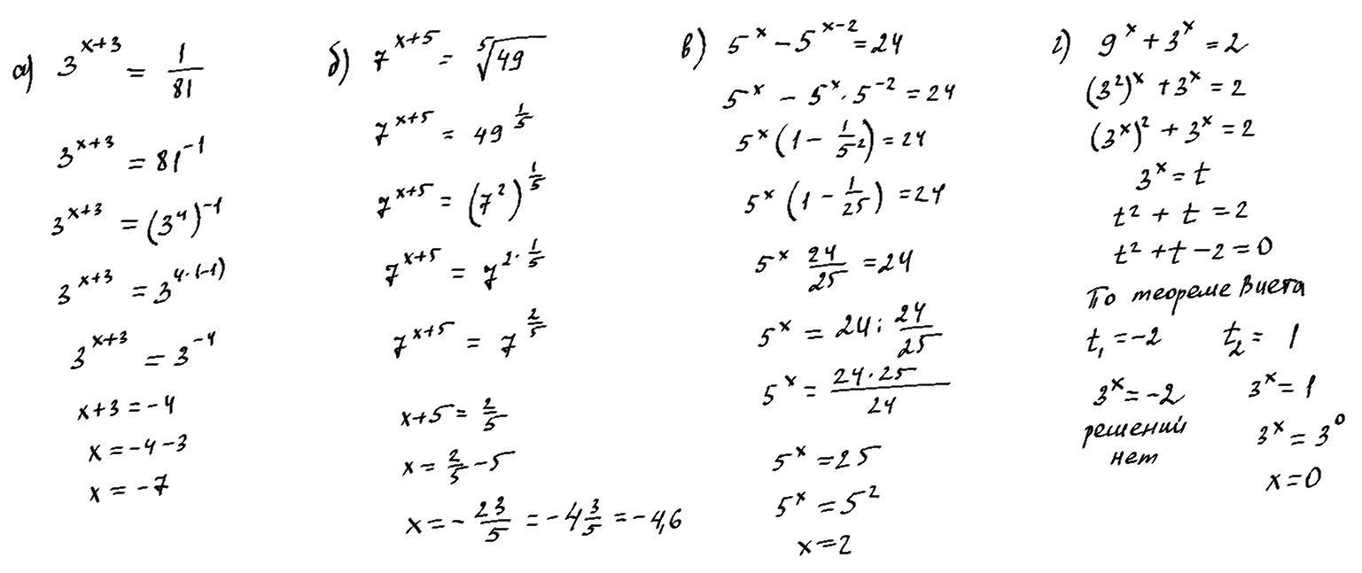
Срочно! Решить уравнения

Приложения:

Ответы

Ответ дал: UluanaV
1

Ответ:

а) х = -7

б) х = -4,6

в) х = 2

г) х = 0

Пошаговое объяснение:

Решение на фото

Приложения:
Вас заинтересует