• Предмет: Алгебра
  • Автор: Danil3244g1
  • Вопрос задан 7 лет назад

Напишите Только ответ

Приложения:

Ответы

Ответ дал: dovnara620
1

Ответ:

14 )))))))))))))))))))))))))))(((((((((

Ответ дал: NNNLLL54
1

Ответ:

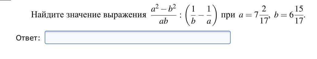
\displaystyle \frac{a^2-b^2}{ab}:\Big(\frac{1}{b}-\frac{1}{a}\Big)=\frac{(a-b)(a+b)}{ab}:\frac{a-b}{ab}=\frac{(a-b)(a+b)}{ab}\cdot \frac{ab}{a-b}=\\\\\\=a+b=7\frac{2}{17}+6\frac{15}{17}=(7+6)+\Big(\frac{2}{17}+\frac{16}{17}\Big)=13+1=14


Danil3244g1: А где вы это нашли?
Danil3244g1: Просто интересно что это за сайт
NNNLLL54: нигде, просто решила ...
Danil3244g1: Спасибо большое
NNNLLL54: сайт находится в голове
Danil3244g1: я ща в профиль кину ещё задачи поможете?
Вас заинтересует