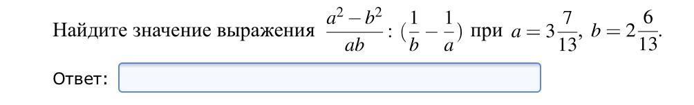
• Предмет: Алгебра
  • Автор: Danil3244g1
  • Вопрос задан 8 лет назад

Напишите только ответ

Приложения:

Ответы

Ответ дал: marina35461
1

Ответ:

6

Объяснение:

итоговое уравнение a+b, подставляем значение 3 целых 7 13 = 2 целых 6 13 , складываем целую часть 6 целых в числители и знаменатели 13 и 13 значит 5+1= 6


Danil3244g1: Спасибо
Вас заинтересует