• Предмет: Алгебра
  • Автор: aibekazerbai
  • Вопрос задан 8 лет назад

помогите пожалуйста по алгебре​

Приложения:

Ответы

Ответ дал: Minimomka
0

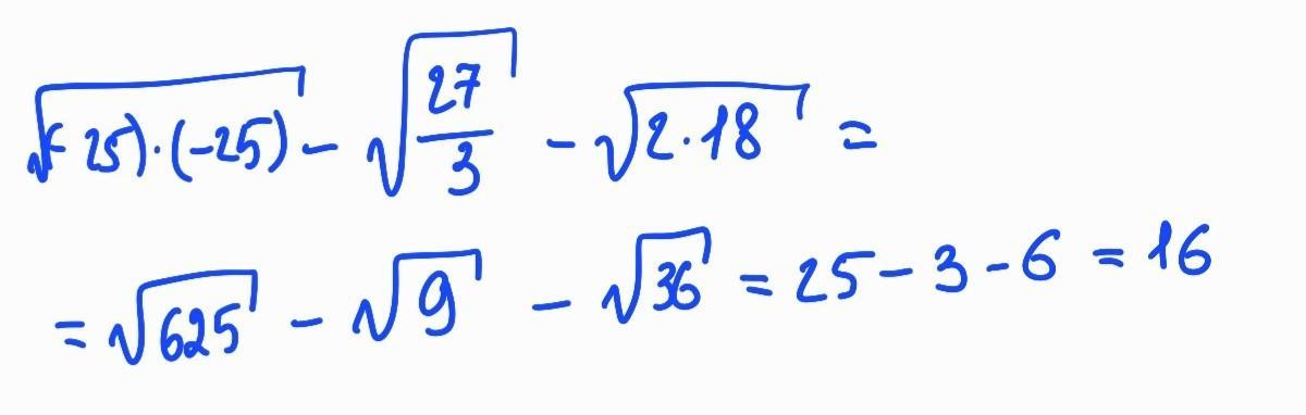
Ответ:

16

Объяснение:

Подробное решение на фото

Приложения:
Вас заинтересует