• Предмет: Алгебра
  • Автор: moneskinmaneskin
  • Вопрос задан 8 лет назад

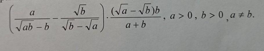
УПРОСТИТЕ ВЫРАЖЕНИЕ!!!!!ПОМОГИТЕ ПОЖАЛУЙСТА СРОЧНО НАДО​

Приложения:

Ответы

Ответ дал: tosya01
1

Объяснение:

ставь, как лучший ответ

Приложения:

moneskinmaneskin: спасибо большое!!!
tosya01: пожалуйста
Вас заинтересует