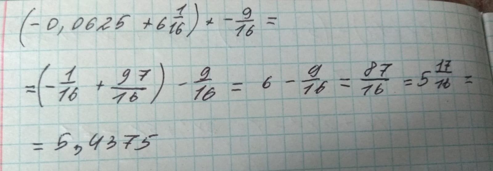
439. Запишите выражение и найдите его значение с помощью предложения: 1) к сумме чисел -0,0625 и 6 1/16 прибавьте -9/16
Ответы
Ответ дал:
4
Решение задачи на фото.
Приложения:

Вас заинтересует
2 года назад
2 года назад
3 года назад
3 года назад
8 лет назад
8 лет назад
9 лет назад
9 лет назад