• Предмет: Математика
  • Автор: elzantalipov
  • Вопрос задан 8 лет назад

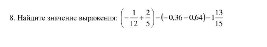
Помогите пжжжж юю.................​

Приложения:

Ответы

Ответ дал: meryzvx
0

29/60 + 7/25 - 28/15=331/300 или же 1целая 31/300


elzantalipov: нет
Вас заинтересует