• Предмет: Математика
  • Автор: nastiakak
  • Вопрос задан 8 лет назад

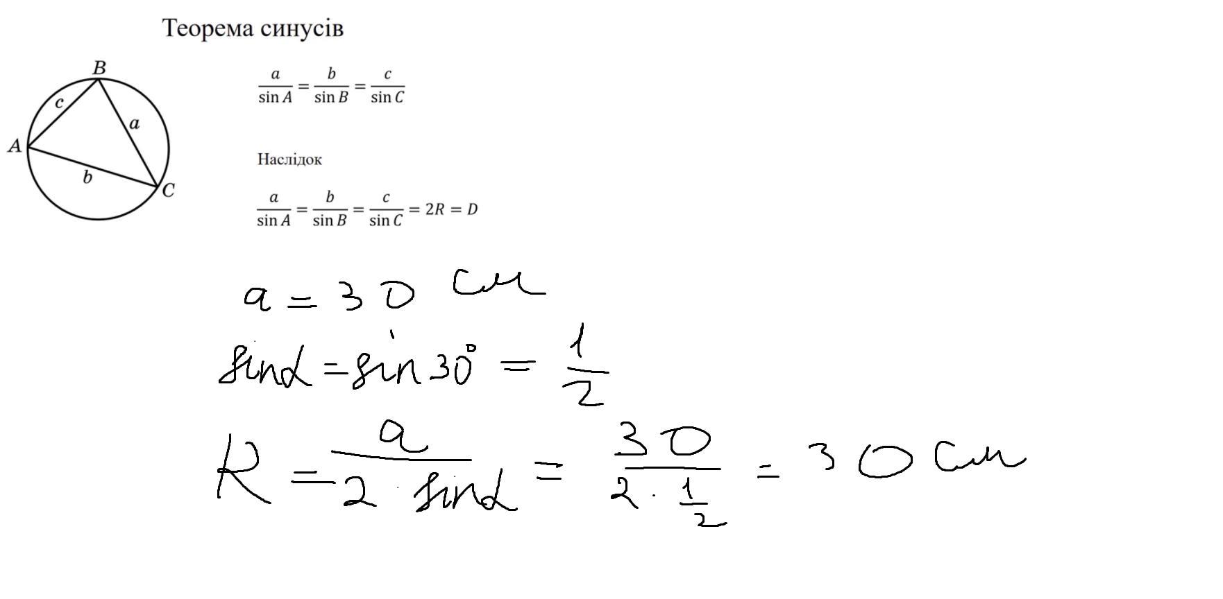
Вычисли радиус окружности, описанной около треугольника, если один из его углов равен 30°, а противолежащая ему сторона равна 30 см. ​

Ответы

Ответ дал: snopikvova629
1

Ответ:

Пошаговое объяснение:

ось і все

Приложения:
Вас заинтересует