Умоляю помогите нужно только вариант г,д и е пожалуйста дам 20 или же больше балов.Плиииизззз
Приложения:

Ответы
Ответ дал:
1
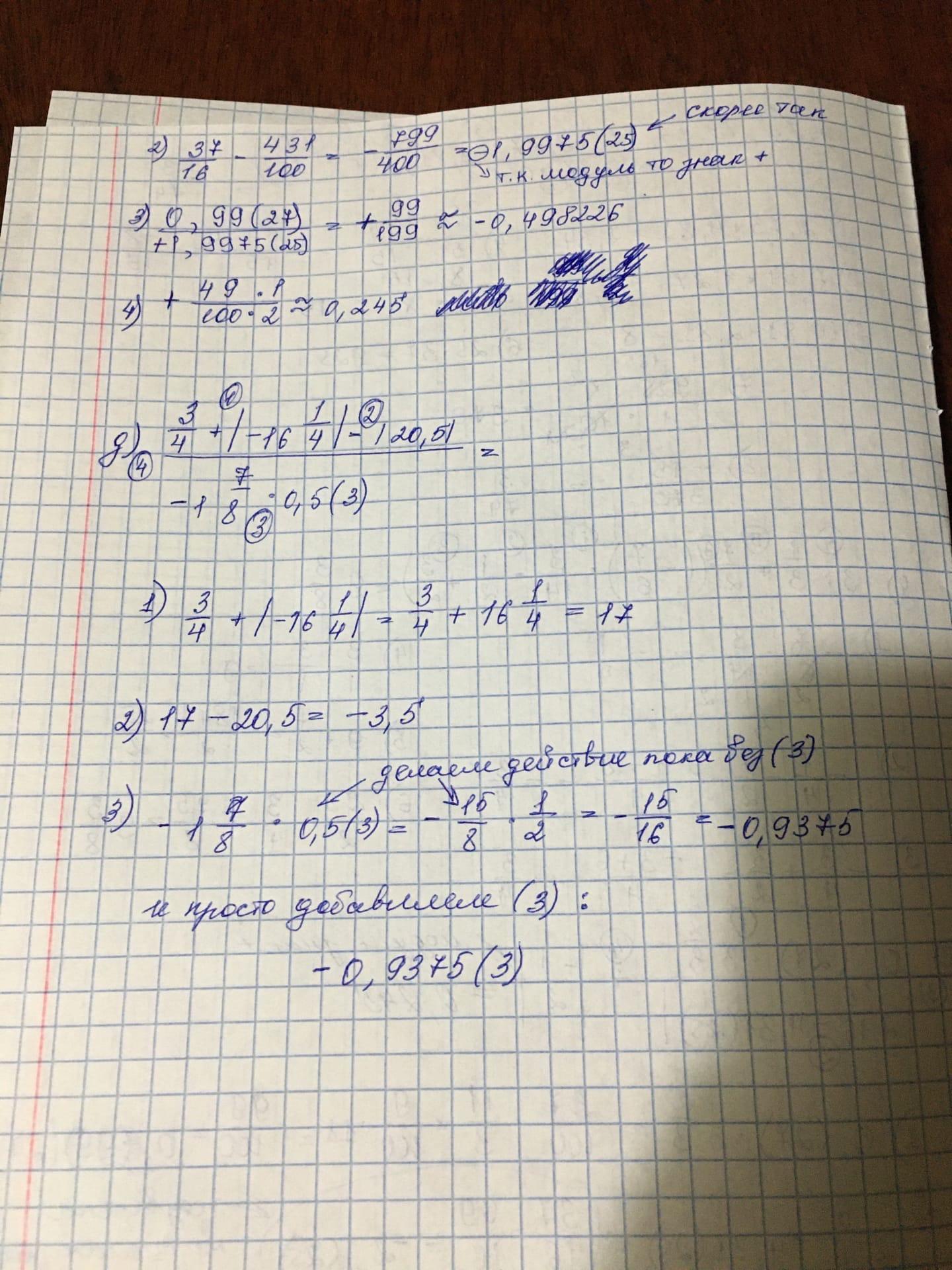
Ответ:
Пошаговое объяснение:
Приложения:

arzunesirli19670:
Спасибо
Ответ дал:
1
Ответ:
ну и примеры....я уверена только в тех примерах которые без модулей, я конечно пыталась решить...но хщхзхзхз
Пошаговое объяснение:
ну вот как то так хе*_*
Приложения:


но пример д еще более уверена(тот который с модулем)
Вас заинтересует
2 года назад
2 года назад
3 года назад
8 лет назад
8 лет назад
9 лет назад
9 лет назад