• Предмет: Математика
  • Автор: erikdidar10
  • Вопрос задан 7 лет назад

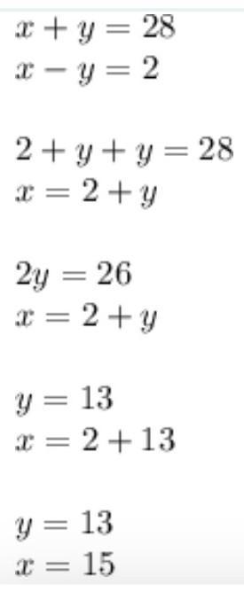
сумма двух чисел равна 2, разность этих чисел равна 28. Какие это два числа?
Объясните пожалуйста как это делается​

Ответы

Ответ дал: zeppelinzektr
0

Ответ:

Ток я не понял почему у Тебя сумма 2 чисел равна 2 если 28 а разность равна 2

Приложения:

erikdidar10: не твой интернетный ответ мне не нужен, у меня соры составляют учителя
zeppelinzektr: тогда прости больше не нашел ответов
erikdidar10: да ничего, лучше решай все сам
Ответ дал: aleksa06kovalenko
0

Ответ

2÷2-(0,28÷2)=0,86

2÷2+(0,28÷2)=1,14

0,86+1,14=2

1,14>0,86 на 28


erikdidar10: мне кажется ты не так поняла вопрос
Вас заинтересует