• Предмет: Алгебра
  • Автор: foxck1
  • Вопрос задан 7 лет назад

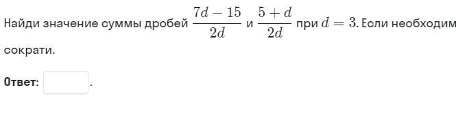
Найти значение суммы дроби

Приложения:

Ответы

Ответ дал: solvesolve0505
0

Ответ:

Объяснение:

\frac{7d-15}{2d}+\frac{5+d}{2d}=\frac{7d-15+5+d}{2d}=\frac{8d-10}{2d};\\d=3;\\\frac{8d-10}{2d}=\frac{8*3-10}{2*3}=\frac{14}{6}=\frac{7}{3}=2\frac{1}{3}

Вас заинтересует