• Предмет: Математика
  • Автор: ilona112806
  • Вопрос задан 8 лет назад

помогите пожалуйста ​

Приложения:

Ответы

Ответ дал: lisina200798
1

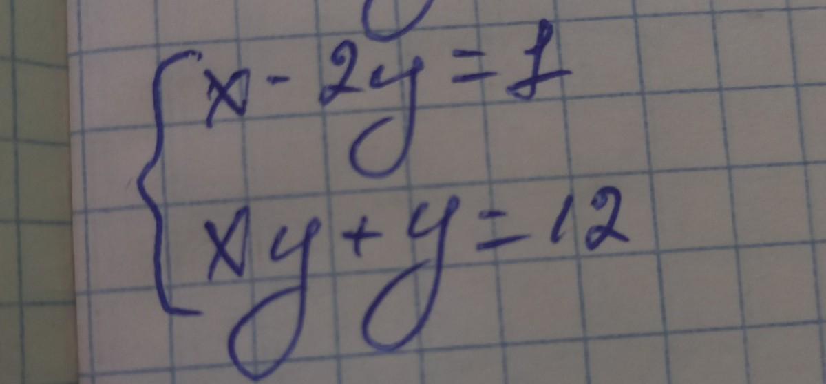
Ответ:из первого уравнения х=1+у

подставим во второе (1+у)*у=12

у²+у-12=0

D=1²-4*(-12)=1+48=49=7²

у1=(-1-7)/2=-4

у2=(-1+7)/2=3

х1=1-4=-3  при у1=-4

х2=1+3=4  при у2=3

ответ: (-3;-4); (4;3)

Пошаговое объяснение:

Вас заинтересует