Ответы
Ответ дал:
1
Ответ:
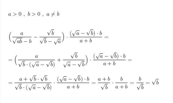
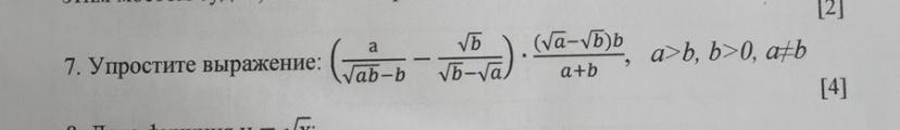
Приложения:

adelyagerth:
Я не могу посмотреть продолжение
Вас заинтересует
2 года назад
2 года назад
3 года назад
3 года назад
8 лет назад
8 лет назад