ПОМОГИТЕТЕТТЕТЕЬЕТЕЬТЕ
Приложения:

Аноним:
Умоляю мне тоже помогите, вопросы в профиле, даю хорошие баллы за ответы!!!
Ответы
Ответ дал:
0
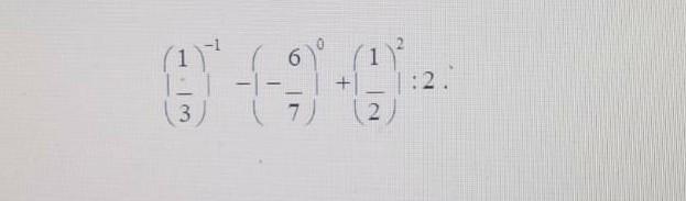
Ответ:3+1+1/4:2=4+1/8=4 1/8
Ответ дал:
1
Ответ:
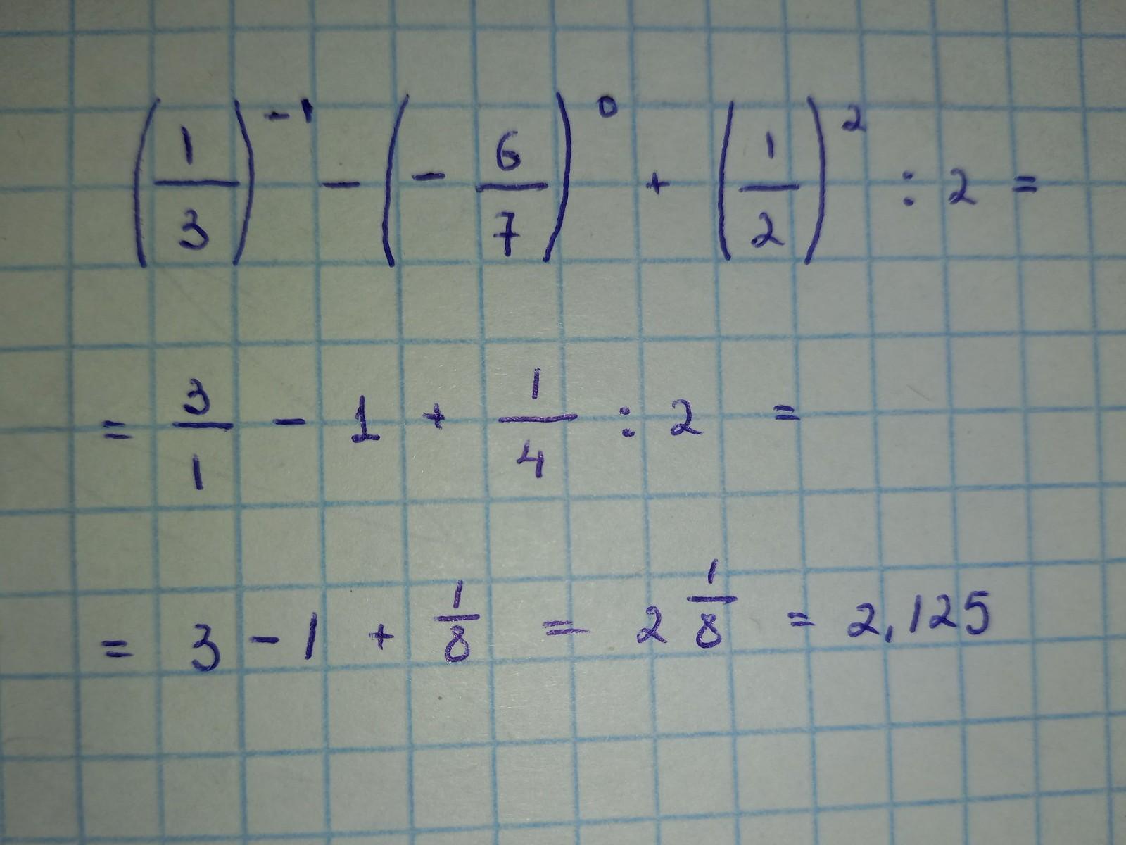
2 ⅛ или 2, 125. смотри фото.
Приложения:

Вас заинтересует
2 года назад
3 года назад
3 года назад
8 лет назад
8 лет назад
9 лет назад