• Предмет: Алгебра
  • Автор: KOTNKN
  • Вопрос задан 7 лет назад

....................................

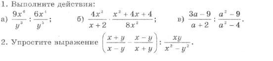
Приложения:

Ответы

Ответ дал: Аноним
0

Объяснение:

держи)))))))))))))))

Приложения:
Вас заинтересует