• Предмет: Математика
  • Автор: RuslanRussia1881
  • Вопрос задан 8 лет назад

Найти производные!!!!

Приложения:

Ответы

Ответ дал: natalyabryukhova
1

Пошаговое объяснение:

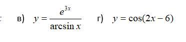
в)

\displaystyle        (\frac{u}{v})'=\frac{u'v-uv'}{v^2}

\displaystyle        y=\frac{e^{3x}}{arcsinx}

\displaystyle        y'=\frac{e^{3x}*(3x)'*arcsinx-e^{3x}*\frac{1}{\sqrt{1-x^2} } }{arcsin^2x} =\\\\=\frac{e^{3x}*3arcsinx-e^{3x}*\frac{1}{\sqrt{1-x^2} } }{arcsin^2x} =\\\\=\frac{e^{3x}(3arcsinx-\frac{1}{\sqrt{1-x^2} }) }{arcsin^2x}

г)

\displaystyle       ( cosu)'=-sinu*u'

\displaystyle        y=cos(2x-6)

y'=-sin(2x-6)*(2x-6)'=-sin(2x-6)*2=-2sin(2x-6)


RuslanRussia1881: :)
Вас заинтересует