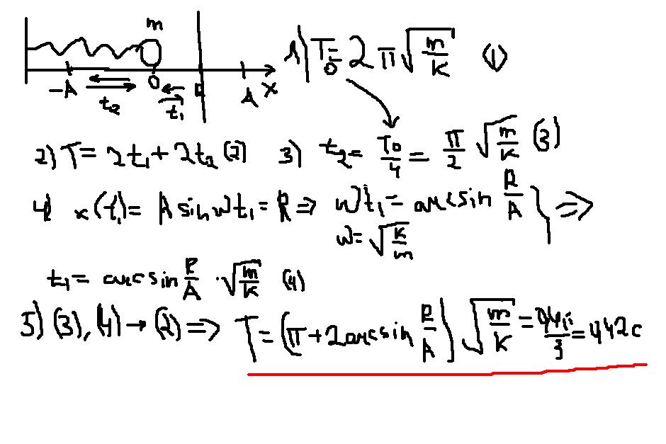
маленький шарик массой m= 100 г совершает гармонические колебания в горизонтальном направлении с амплитудой A = 4 см на пружине жесткостью k = 10 H/м. На расстоянии R = 2 см от положения равновесия устанавливают вертикальную стальную плиту, при абсолютно упругих соударениях с которой шарик отскакивает. Чему станет равен период колебаний T шарика после установки плиты?
Ответы
Ответ дал:
0
Вот, собственно, решение.
Приложения:

Вас заинтересует
2 года назад
2 года назад
8 лет назад
10 лет назад
10 лет назад
10 лет назад