• Предмет: Алгебра
  • Автор: egorov078
  • Вопрос задан 8 лет назад

Дам 20 баллов пожалуйста ​

Приложения:

Ответы

Ответ дал: Universalka
0

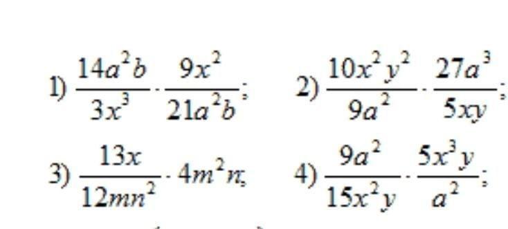
1) \ \dfrac{14a^{2} b}{3x^{3} } \cdot\dfrac{9x^{2} }{21a^{2} b} =\dfrac{2\cdot7\cdot a^{2} b\cdot3\cdot3\cdot x^{2} }{3\cdot x^{2} \cdot x\cdot3\cdot 7\cdot a^{2} b}=\boxed{\dfrac{2}{x} } \\\\\\2) \ \dfrac{10x^{2} y^{2} }{9a^{2} } \cdot\dfrac{27a^{3} }{5xy} =\dfrac{2\cdot5\cdot x\cdot x\cdot y \cdot y\cdot3\cdot9\cdot a^{2} \cdot a}{9\cdot a^{2}\cdot5\cdot x\cdot y } =\boxed{6axy}

3) \ \dfrac{13x}{12mn^{2} } \cdot4m^{2} n=\dfrac{13x\cdot4\cdot m\cdot m\cdot n}{3\cdot4\cdot m\cdot n\cdot n} =\boxed{\dfrac{13xm}{3n} }\\\\\\4) \ \dfrac{9a^{2} }{15x^{2} y} \cdot\dfrac{5x^{3} y}{a^{2} } =\dfrac{3\cdot3\cdot a^{2} \cdot5\cdot x^{2} \cdot x\cdot y}{3\cdot 5\cdot x^{2} \cdot y} =\boxed{3x}

Вас заинтересует