• Предмет: Алгебра
  • Автор: kikotn1221
  • Вопрос задан 7 лет назад

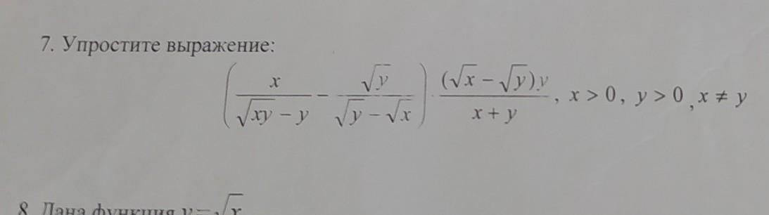
решите плииииз срооооочноооооо​

Приложения:

Ответы

Ответ дал: MikeRex
1

Ответ:

Ниже

...,,.,.,.,..

Объяснение:

Приложения:
Вас заинтересует