• Предмет: Алгебра
  • Автор: egorov078
  • Вопрос задан 8 лет назад

Помогите пожалуйста ​

Приложения:

Ответы

Ответ дал: dimakoval654
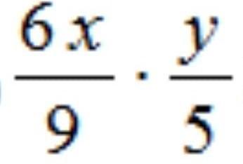
0

Ответ:

2ху/15

Объяснение:

2ху/15 ...........

Ответ дал: ladilline
0
6x/9 можно сократить на 3
2x/3
теперь просто умножаем
2xy/15 <<<ответ
Вас заинтересует