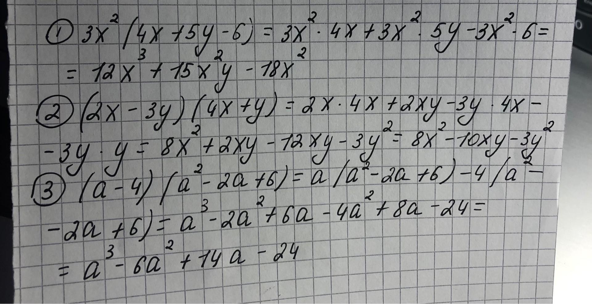
Помогите пожалуйста решить упрощение вырпжения 1)3x²(4x+5y-6)=
2) (2x-3y)(4x+y)=
3) (a-4)(a²-2a+6)=
Ответы
Ответ дал:
1
Ответ на фотографии.
Приложения:

Аноним:
вот это почерк...
Вас заинтересует
3 года назад
3 года назад
8 лет назад
8 лет назад
9 лет назад