Упростить выражение
а^а✓2/а^+2*(а/а-✓2 - ✓2/а+✓2) , а>0, а ≠✓2
Приложения:

Аноним:
Это не 4 класс а 5-9класс
Ответы
Ответ дал:
0
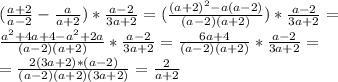
Вот надеюсь правильно
Приложения:

Вас заинтересует
2 года назад
3 года назад
3 года назад
8 лет назад
8 лет назад
9 лет назад