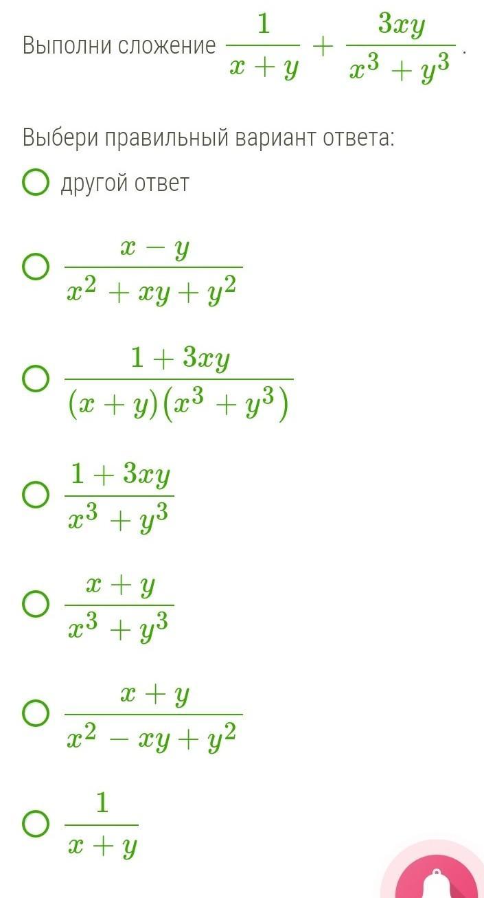
Выполни сложение 1x+y+3xyx3+y3.
Выбери правильный вариант ответа:
другой ответ
x−yx2+xy+y2
1+3xy(x+y)(x3+y3)
1+3xyx3+y3
x+yx3+y3
x+yx2−xy+y2
1x+y
Приложения:

Ответы
Ответ дал:
0
Ответ:
Вас заинтересует
2 года назад
2 года назад
3 года назад
8 лет назад
8 лет назад