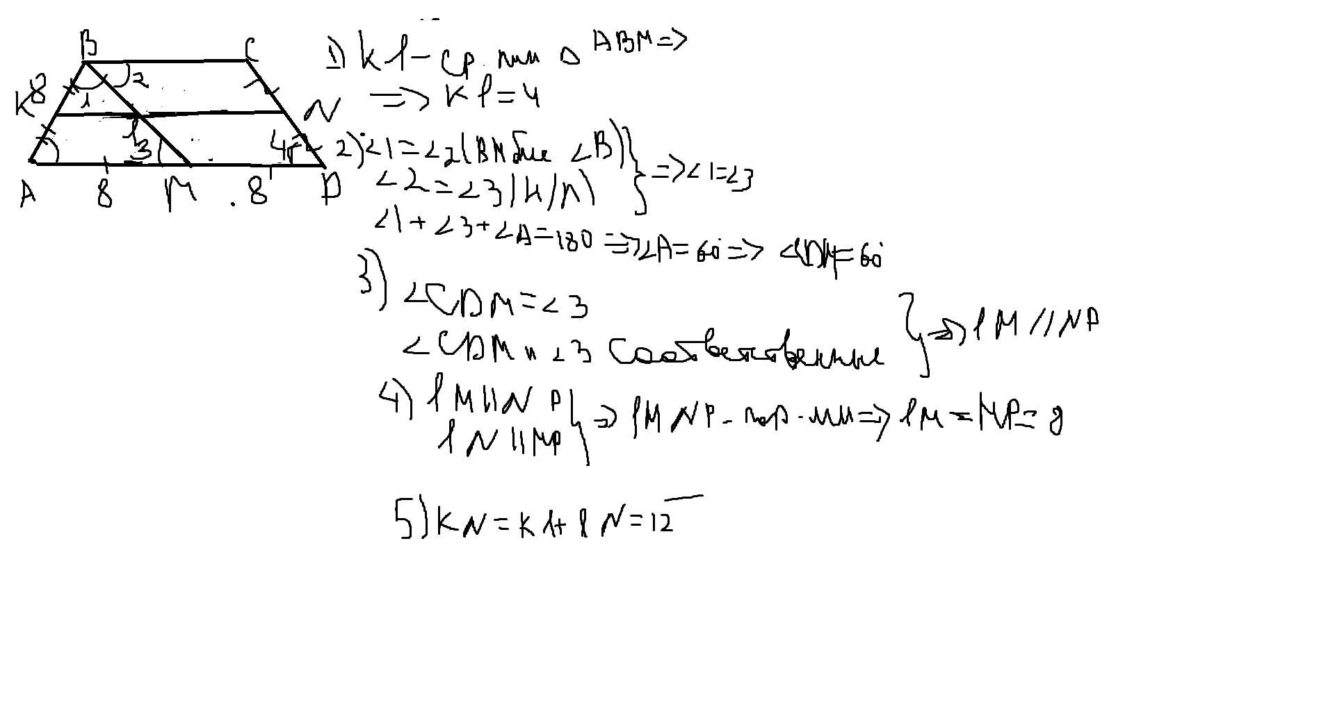
В равнобокой трапеции с тупым углом 120 биссектриса этого угла делит большое основание,равное 16 см пополам.Найдите среднюю линию трапеции
Ответы
Ответ дал:
1
Ответ:
Объяснение:Удачи
Приложения:

Вас заинтересует
2 года назад
2 года назад
8 лет назад
8 лет назад