• Предмет: Математика
  • Автор: llaikozik99
  • Вопрос задан 8 лет назад

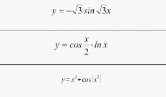
помогите пожалуйста с дифирененциалами​

Приложения:

Ответы

Ответ дал: gulzadoralbekova
0

Ответ:

1.y=0

.

.

.

.

.

.

.

.

.

.

.

._______________________

Вас заинтересует