Ответы
Ответ дал:
0
=============================================
Приложения:

Ответ дал:
0
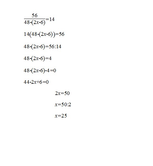
48-(2х-6)=14
48-2х+6=14
48+6-2х=14
54-2х=14
2х=54+14
2х=68
Х=34
48-2х+6=14
48+6-2х=14
54-2х=14
2х=54+14
2х=68
Х=34
Приложения:

Вас заинтересует
2 года назад
8 лет назад
10 лет назад
10 лет назад