• Предмет: Химия
  • Автор: violettagolynskaa77
  • Вопрос задан 7 лет назад

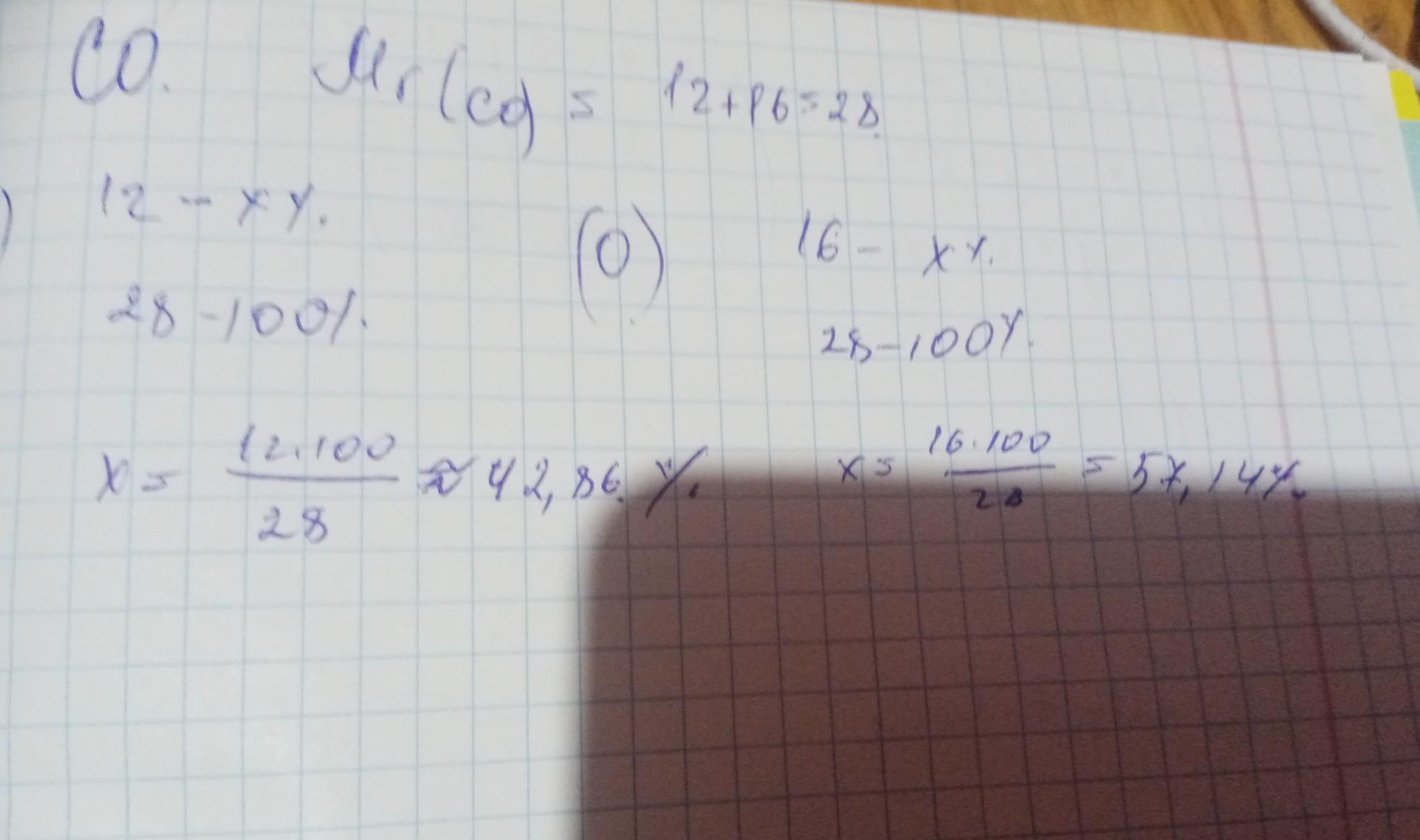
Рассчитайте массовую долю углерода С в соединении СО ​

Ответы

Ответ дал: burikbaevaaysara
1

Объяснение:

Сначала надо найти молекуляргую массу, потом исходя из относительных атомных масс каждого элемента находим процентный состав

Приложения:
Вас заинтересует