• Предмет: Математика
  • Автор: kikakim03
  • Вопрос задан 8 лет назад

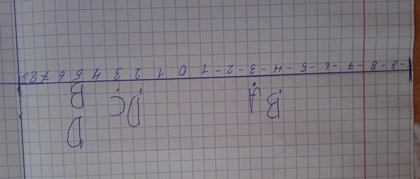
a) На координатной прямой отметьте точки A(-3), B(-4,5),C(3), D(2,5), b) укажите точки с противоположными координаты

Ответы

Ответ дал: almirauesbek37
0

Я в 6 классе я уже пример 4 решил Так что этот правильный лови ответ я в 6 классе и это для меня изи

Приложения:

almirauesbek37: поставь пж лучший ответ
bakhtkyzy: это правильно?
almirauesbek37: Да
Лучший ответ поставь
Вас заинтересует