• Предмет: Алгебра
  • Автор: osadchykalina
  • Вопрос задан 8 лет назад

СРОЧНО!! АЛГЕБРАСРОЧНО!! АЛГЕБРАСРОЧНО!! АЛГЕБРАСРОЧНО!! АЛГЕБРАСРОЧНО!! АЛГЕБРАСРОЧНО!! АЛГЕБРАСРОЧНО!! АЛГЕБРАСРОЧНО!! АЛГЕБРАСРОЧНО!! АЛГЕБРА​

Приложения:

Ответы

Ответ дал: Universalka
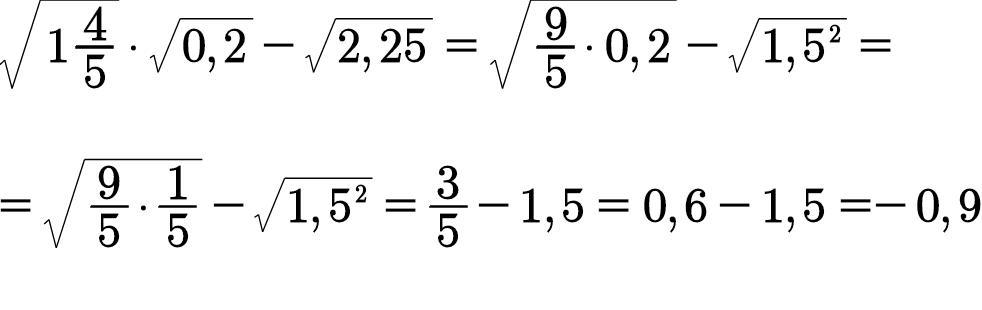
2

\displaystyle\bf\\\sqrt{1\dfrac{4}{5} } \cdot\sqrt{0,2}-\sqrt{2,25} =\sqrt{1,8\cdot0,2} -\sqrt{1,5^{2} } =\sqrt{0,36} -1,5=\\\\=\sqrt{0,6^{2} } -1,5=0,6-1,5=\boxed{-0,9}


Miа16: Universalka, Здравствуйте! Есть минутка?
osadchykalina: почему фото не открывается?((
osadchykalina: ааа
osadchykalina: всё я поняла
Аноним: МНЕ ПОМОГИТЕ ПОЖАЛУЙСТА МНЕ ПОМОГИТЕ ПОЖАЛУЙСТА МНЕ ПОМОГИТЕ ПОЖАЛУЙСТА
Аноним: Извините, что отнимаю ваше время, но вы не могли бы мне помочь?
Аноним: Здравствуйте вы не могли бы вы мне помочь с алгеброй пожалуйста умоляю
Ответ дал: tamarabernukho
3

Ответ:

-0,9

Объяснение:

.......................

Приложения:

Аноним: МНЕ ПОМОГИТЕ ПОЖАЛУЙСТА МНЕ ПОМОГИТЕ ПОЖАЛУЙСТА МНЕ ПОМОГИТЕ ПОЖАЛУЙСТА
Аноним: Извините, что отнимаю ваше время, но вы не могли бы мне помочь?
Аноним: Здравствуйте вы не могли бы вы мне помочь с алгеброй пожалуйста умоляю
Вас заинтересует