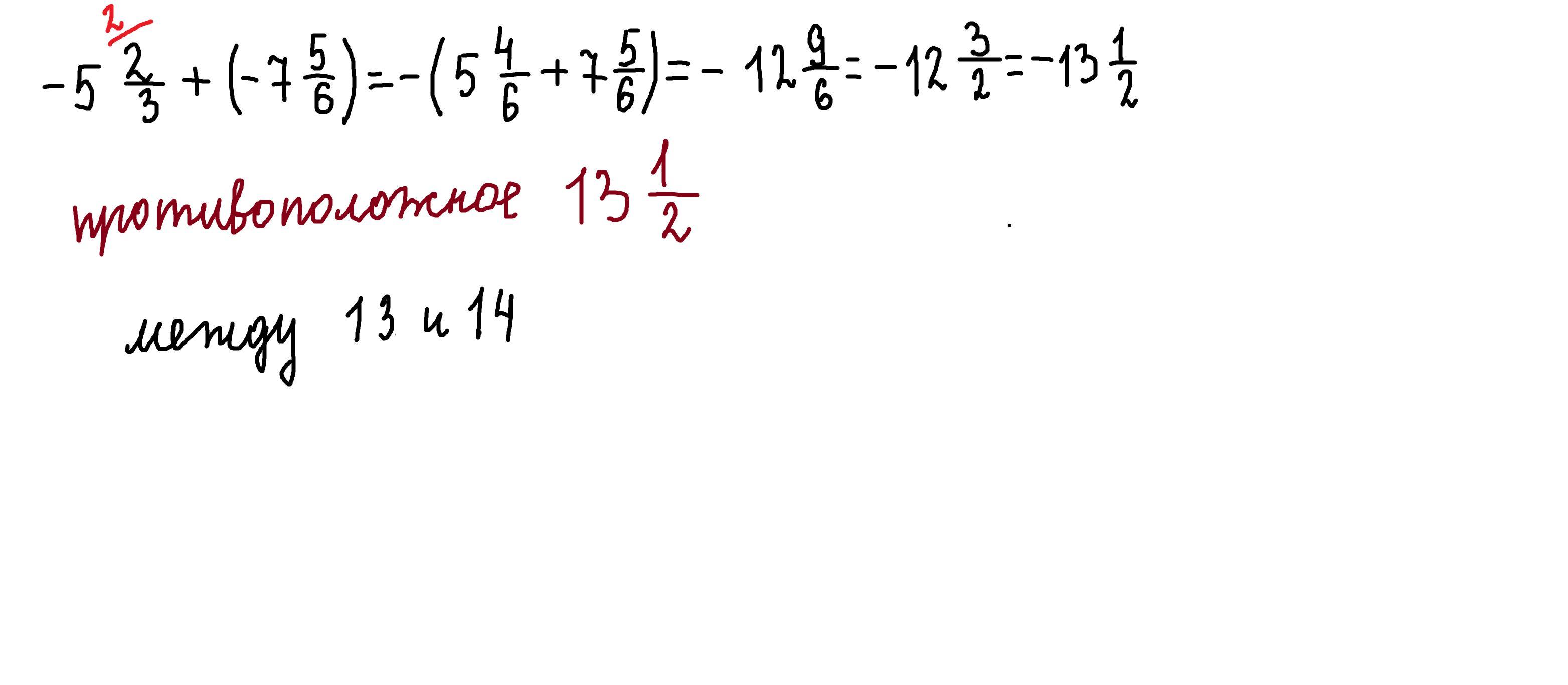
между какими двумя целыми числами находится число противоположное сумме чисел -5⅔ и -7⅚
jekadva:
13 и 14
Ответы
Ответ дал:
1
Ответ:
между 13 и 14
Пошаговое объяснение:
Приложения:

Вас заинтересует
2 года назад
3 года назад
3 года назад
8 лет назад
8 лет назад
9 лет назад
9 лет назад