• Предмет: Алгебра
  • Автор: noname08155
  • Вопрос задан 7 лет назад

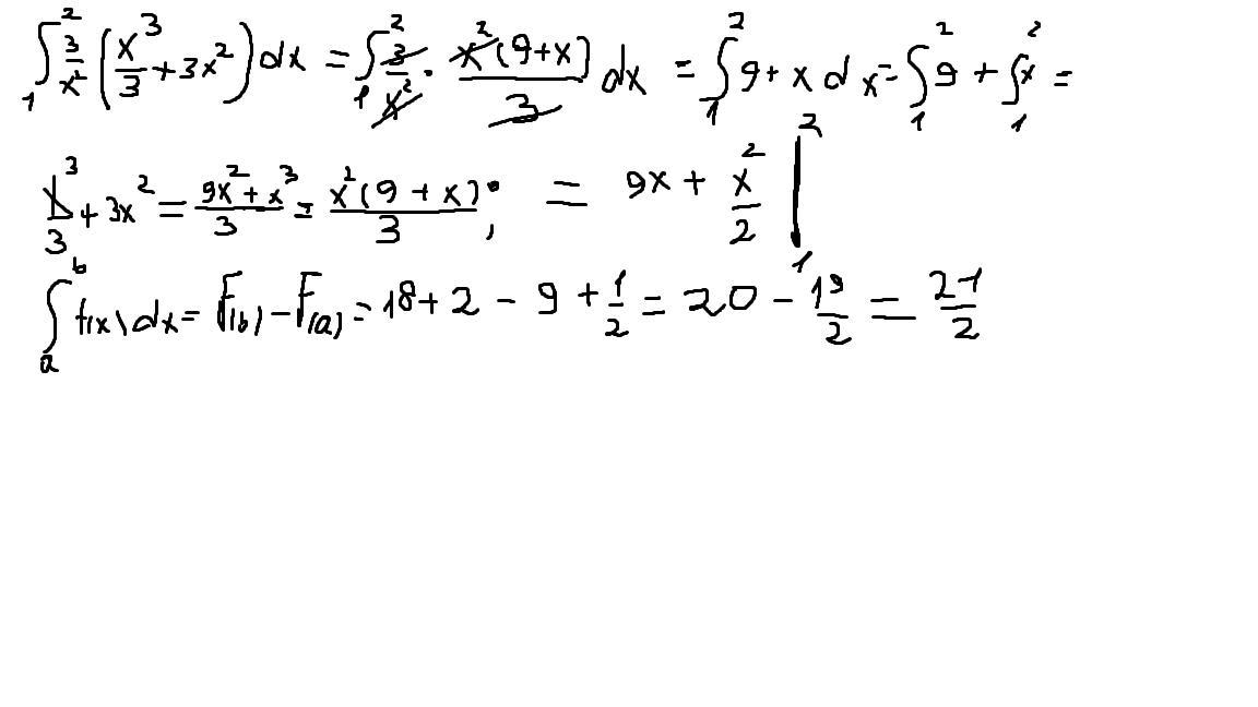
найдите определённый интеграл
2
∫ 3/x²(x³/3 + 3x²)dx
1​

Ответы

Ответ дал: TarasYashchuk
0

Ответ:

sqrt

Объяснение:

Приложения:

TarasYashchuk: там в конце 11+0.5=11.5 вместо 20-19/2
Вас заинтересует