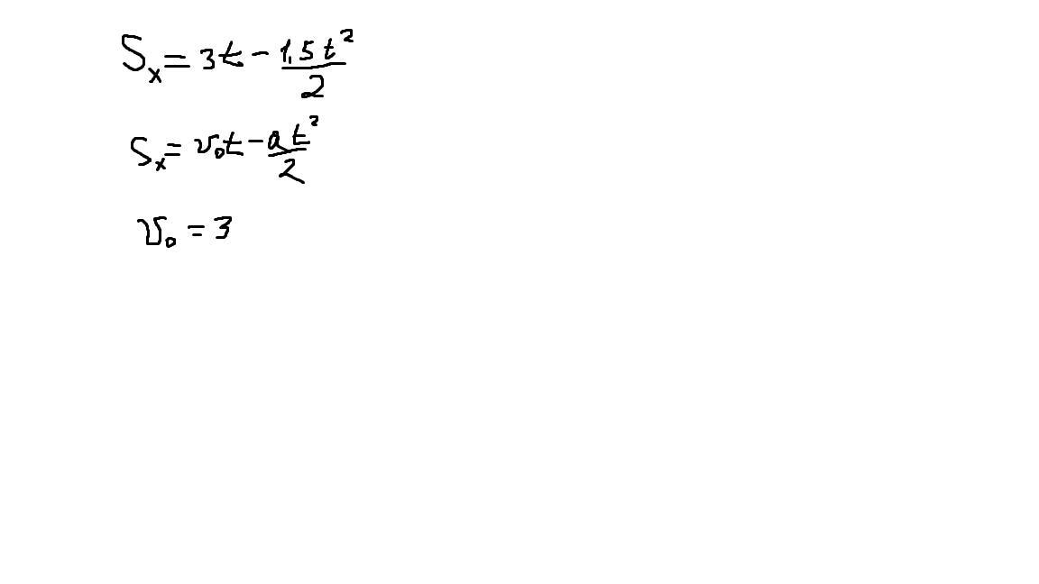
Залежність проекції швидкість руху тіла від часу задано рівнянням Sx=3t-1,5t2 Визначте проекцію початкову швидкість руху тіла?
Ответы
Ответ дал:
1
Ответ:
sqrt
Объясненbz
Приложения:

Вас заинтересует
2 года назад
2 года назад
3 года назад
3 года назад
8 лет назад