• Предмет: Алгебра
  • Автор: bpvd
  • Вопрос задан 8 лет назад

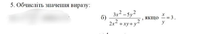
Пожалуйста помогите решить :/​

Приложения:

Ответы

Ответ дал: UluanaV
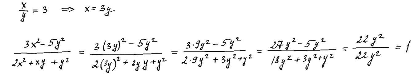
1

Ответ:

1

Объяснение:

Решение на фото.

Приложения:
Вас заинтересует