• Предмет: Математика
  • Автор: sembobrov9061
  • Вопрос задан 7 лет назад

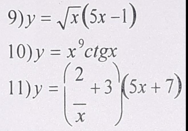
Помогите пожалуйста нужно найти производные!Срочно!!

Приложения:

Ответы

Ответ дал: beketzauynbaj99
0

Ответ:

Вариянт 1

x1=0,x2=0,2

Вариянт 2

x1=0x2=1

_

5


sembobrov9061: Это че?
beketzauynbaj99: 10)
beketzauynbaj99: 9 вопрос
beketzauynbaj99: Ошибся
beketzauynbaj99: Это 9
sembobrov9061: Я вообще не понял че ты написал
sembobrov9061: Это вообще не так делается ты мне написал ответ как в квадратном уравнение.
Вас заинтересует