Delphi - помогите написать код

Приложения:

Ответы

Ответ дал: huston81
0

Ответ:

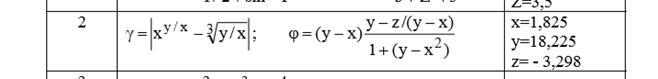
const

   x = 1.825;

   y = 18.225;

   z = -3.298;

var

   gamma, fi : real;

begin

 gamma := abs(exp(ln(x) * (y / x)) - exp(ln(y / x) / 3));

 fi := (y - x) * ((y - z / (y - x)) / (1 + (y - sqr(x))));

 WriteLn('gamma =  ', gamma:1:4);

 WriteLn('fi =  ', fi:1:4);

end.

Объяснение:

Вас заинтересует