• Предмет: Математика
  • Автор: nail228337
  • Вопрос задан 7 лет назад

решите пожалуйста ДАЮ 100 БАЛЛОВ!!!

Приложения:

Ответы

Ответ дал: natalyabryukhova
1

Пошаговое объяснение:

1.

\displaystyle        \frac{2-3x}{(-5x-3)(6-5x)}

На ноль делить нельзя!

\displaystyle        (-5x-3)(6-5x)\neq 0\\\\x\neq -\frac{3}{5}\;\;\;\;\;ili\;\;\;\;\;x\neq \frac{6}{5}

\displaystyle        x\in   (- \infty  ;-\frac{3}{5})\cup    (-\frac{3}{5};\frac{6}{5})\cup    (\frac{6}{5};+ \infty  )

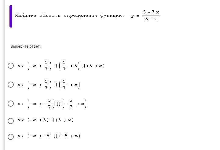
2.

\displaystyle     y=\frac{5-7x}{5-x}    \\\\5-x\neq 0\\x\neq 5

\displaystyle        x\in(- \infty  ;5)\cup    (5;+ \infty)

Вас заинтересует