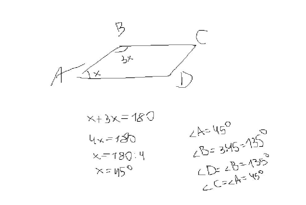
2. Найти углы параллелограмма АВСД, если известно, что угол А больше угла В в 3 раза.
3. Найти углы равнобедренной трапеции, если один из них равен 75°. ZСАД = 30°
Ответы
Ответ дал:
1
Ответ:
второе задание
третье задание на втором скрине
Объяснение:
Приложения:


Вас заинтересует
2 года назад
2 года назад
3 года назад
3 года назад
8 лет назад
8 лет назад
9 лет назад