• Предмет: Алгебра
  • Автор: alibektasimov324
  • Вопрос задан 7 лет назад

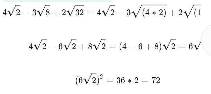
упростите выражение (4√8+√32)√2​

Ответы

Ответ дал: margeretenenko13
0

Привет! Ответ на фото!!

Приложения:
Ответ дал: larisaserova53
0

Ответ:

Смотри решение на фото..

Приложения:
Вас заинтересует