Ответы
Ответ дал:
1
Пошаговое объяснение:
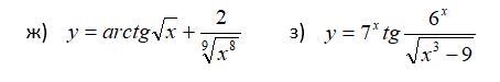
ж)
з)
Приложения:

Аноним:
Записали производную arctg с таким аргументом, а внутренняя - степенная
Вас заинтересует
2 года назад
3 года назад
8 лет назад
8 лет назад
9 лет назад