• Предмет: Математика
  • Автор: gggbmb4
  • Вопрос задан 8 лет назад

помогите пожалуйста как сделать? срочнооооо!!!!!!​

Приложения:

Ответы

Ответ дал: er6x5xewps
0
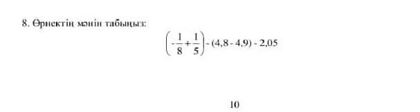
3/40-(-0,1)-2,05=0,075+0,1-2,05=-1,875
Вас заинтересует