• Предмет: Физика
  • Автор: 19anis96akhato
  • Вопрос задан 10 лет назад

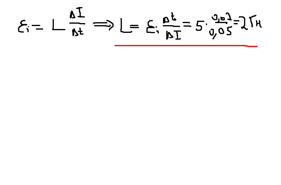
при равномерном увеличении тока на 0,05а за 0,02с в катушке фиксируется ЭДС самоиндукции 5В,следовательно индуктивность катушки имееет значение ...(в Гн)

Ответы

Ответ дал: JayCutler
0
Вот, собственно, решение.
Приложения:
Ответ дал: 19anis96akhato
0
спс чувак)
Ответ дал: JayCutler
0
я не чувак, я пятикратный Мистер Олимпия - Джей Катлер!
Ответ дал: 19anis96akhato
0
извини мистер Олимпия)
Вас заинтересует