Ответы
Ответ дал:
0
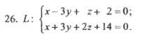
См ниже. Это каноническое уравнение прямой
Приложения:

dimachar2004:
ну блн за 50 баллов можно было и решить
Вас заинтересует
2 года назад
3 года назад
8 лет назад
8 лет назад
9 лет назад