• Предмет: Математика
  • Автор: ula000nana
  • Вопрос задан 7 лет назад

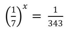
помогите пожалуйста;​

Приложения:

Ответы

Ответ дал: AleksBelVik
0

Ответ:

1/7 х-1/49

Пошаговое объяснение:

наверно.....

Ответ дал: FFFFFFFFFFFLESH
1

Ответ:

x равен 3 так как 7×7×7=343


FFFFFFFFFFFLESH: получается тебе надо 1/7 возвести в степень x, чтобы получилось 1/343, и x= 3
AleksBelVik: точно
Вас заинтересует