• Предмет: Геометрия
  • Автор: Аноним
  • Вопрос задан 8 лет назад

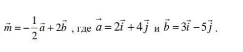
Найдите модуль вектора

Приложения:

Ответы

Ответ дал: gaster10158
0

Ответ:

берешь сначал укропу, потом кошачью zhopu, ведро воды и #уй туды, охапку дров и плов готов

Объяснение:

17 мондавошек

Вас заинтересует