• Предмет: Геометрия
  • Автор: Danya2222888
  • Вопрос задан 7 лет назад

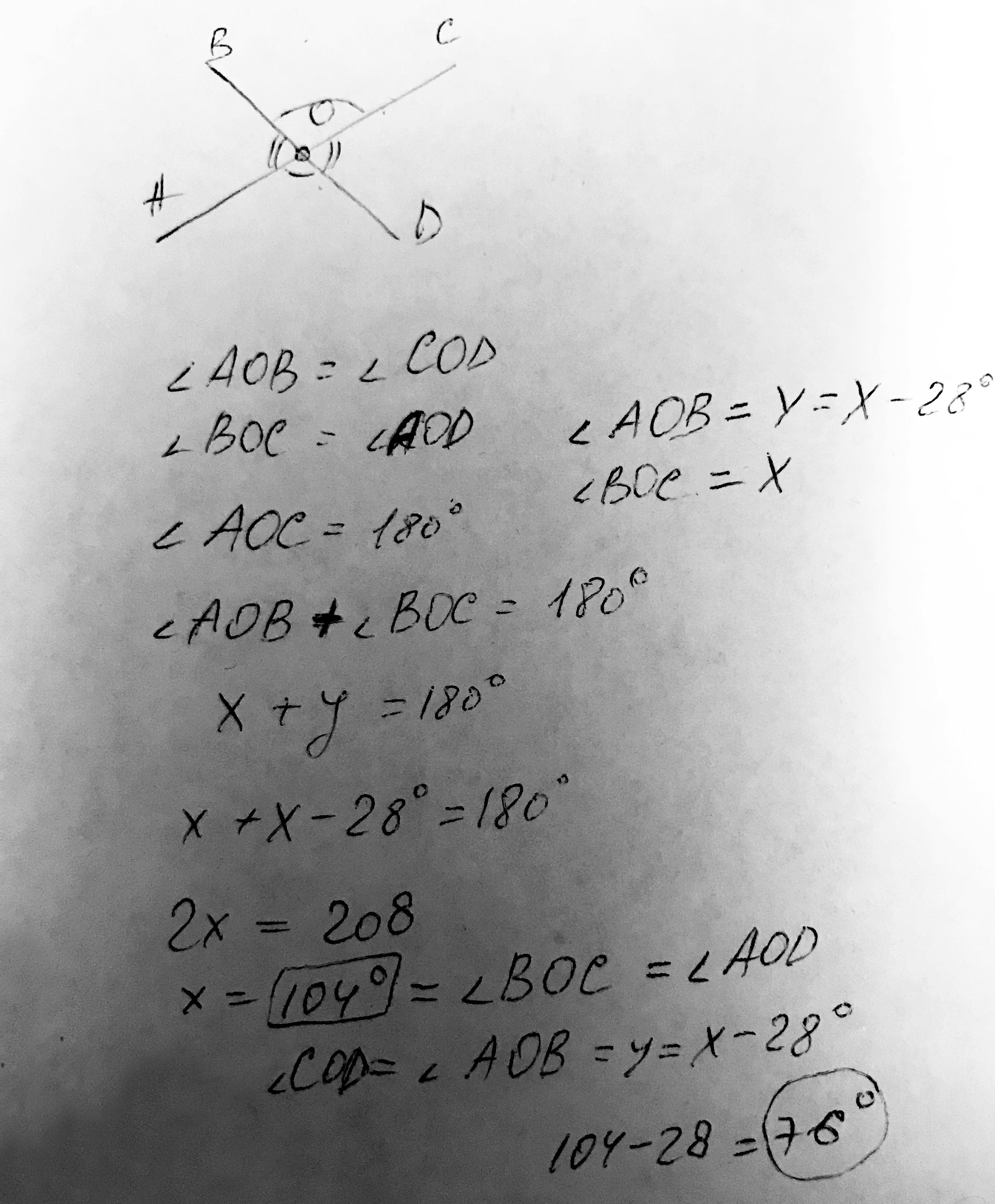
Разность двух углов, образовавшихся при пересечении двух прямых, равна 28°. Найдите все образовавшиеся углы. помогите пожалуйста срочно ​

Ответы

Ответ дал: ajds
0

Ответ:

углы получились 104 гр. и 76 гр.

ответ и решение в рисунке

Объяснение:

Приложения:
Вас заинтересует