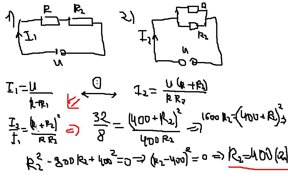
Соединённые последовательно резистор сопротивления R=400Ом и резистор с неизвестным сопротивлением R₂ подключены к источнику постоянного напряжения.При этом сила тока в цепи составляет I₁=8мА.Если эти два резистора соеденить параллельно и подключить к тому же источнику напряжения, то сила тока в цепи увеличится до значения I₂=32мА.Определите сопротивление R₂.
Ответы
Ответ дал:
0
Вот, собственно, решение.
Приложения:

Ответ дал:
0
ещё бы поразборчивее было написано..
Вас заинтересует
2 года назад
2 года назад
10 лет назад
10 лет назад