• Предмет: Физика
  • Автор: adzirol20
  • Вопрос задан 10 лет назад

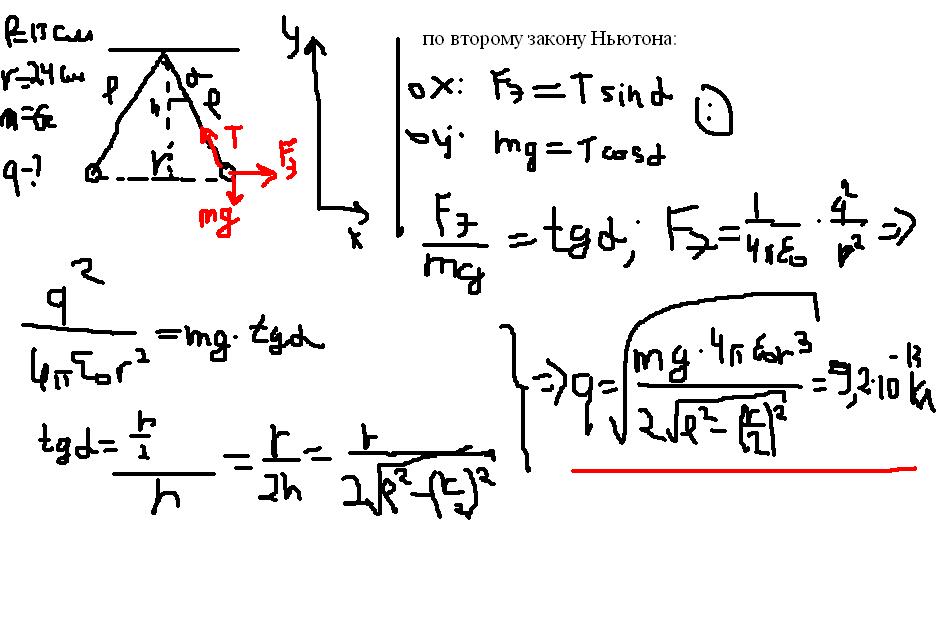
Два маленьких шарика массой 6 г каждый подвешены к одной точке на нитях длиной 13 см. Какой заряд надо сообщить каждому шарику, чтобы они разошлись на расстояние 24 см?

Ответы

Ответ дал: JayCutler
0
Вот, собственно, решение.
Приложения:
Вас заинтересует