• Предмет: Алгебра
  • Автор: Аноним
  • Вопрос задан 7 лет назад

!!!!!!СРОЧНО ПОЖАЛУЙСТА!!!!!
ПОМОГИТЕ!!! СРОЧНО!!!!​

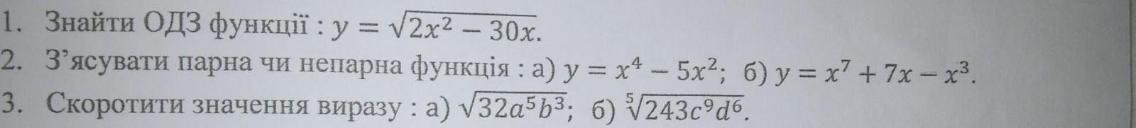
Приложения:

Ответы

Ответ дал: kuanysulynurrahmet
0

Ответ:

1111111111111111111111

Объяснение:

1111111111111111111

Вас заинтересует