• Предмет: Алгебра
  • Автор: delandrej754
  • Вопрос задан 8 лет назад

срооочнооо
дам 100 балов​

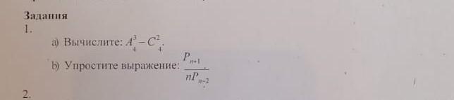
Приложения:

Ответы

Ответ дал: neddd2020
1

Ответ:

1.A^k_n=\frac{n!}{(n-k)!} \\ C^k_n=\frac{n!}{k!(n-k)!}\\A^3_4-C^2_4=\frac{4!}{(4-3)!}-\frac{4!}{2!(4-2)!}=4!-\frac{4!}{4}=2*3*4-2*3=2*3*3=18

2.P_n=n!\\\frac{P_n_+_1}{nP_n_-_2} =\frac{(n+1)!}{n(n-2)!}= \frac{1*2*...*(n-2)(n-1)n(n+1)}{n*1*2...(n-2)} =(n-1)(n+1)=n^2-1


delandrej754: а где второе?
neddd2020: его нет на фотке
Вас заинтересует